三角形的面积公式是什么样的(三角形面积公式)
三角形的面积公式是什么样的(三角形面积公式)
三角形面积公式是指使用算式计算出三角形的面积,同一平面内,且不在同一直线的三条线段首尾顺次相接所组成的封闭图形叫做三角形,符号为△。
常见的三角形按边分有等腰三角形(腰与底不等的等腰三角形、腰与底相等的等腰三角形即等边三角形)、不等腰三角形;按角分有直角三角形、锐角三角形、钝角三角形等,其中锐角三角形和钝角三角形统称斜三角形。

1、已知三角形底a,高h,则S=ah/2。
2、已知三角形三边a、b、c,则s=1/4*√[2(a^2b^2+ a)(p – b)(p – c)] (海伦公式)(p=(a+b+c)/2)。
3、已知三角形两边a、b,这两边夹角C,则S=absinC/2,即两夹边之积乘夹角的正弦值。
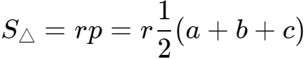
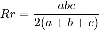
4、设三角形三边分别为a、b、c,内切圆半径为r,则三角形面积=(a+b+c)r/2。
5、设三角形三边分别为a、b、c,外接圆半径为R,则三角形面积=abc/4R。
三角形:
三角形是由同一平面内不在同一直线上的三条线段‘首尾’顺次连接所组成的封闭图形,在数学、建筑学有应用。
常见的三角形按边分有普通三角形(三条边都不相等),等腰三角(腰与底不等的等腰三角形、腰与底相等的等腰三角形即等边三角形);按角分有直角三角形、锐角三角形、钝角三角形等,其中锐角三角形和钝角三角形统称斜三角形。
我们的自由思想的数学将从三角形的面积公式开始谈起,将陆续为读者推导出近百个三角形的面积公式,本文先从最常用最基本的公式讲起。
在开始之前,先约定一下与三角形相关的一些量的符号记法,在以后的文章中,在没有特殊说明的情况下,这些记号都是表达相同的意思。

如上图所示,三角形ABC,记a,b,c为三边的长,A,B,C为三个对应的三个内角的大小,R表示外接圆半径,r表示内切圆半径,p表示周长的一半,即

如上面的三角形高线图所示,首先,我们能够想到的三角形面积公式是底乘高的一半,即

如上图所示,AD为直径,所以∠ACD=90°,由同弧所对圆周角相等,所以∠B = ∠D,从而有,
记

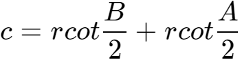
如上面的三角形ABC内切圆图所示,对三角形ABC进行分割,其面积可以分成三个小三角形面积之和,即:



记

为
公式五
。
在内切圆图中,有

,

,

,带入公式五中,则有:

记为
公式六
。
内切圆是由三角形的三条角平分线的交点所得来的,它和外接圆一样是一个三角形唯一的一个属性,因此也就成了与边长和角度一样重要的量。利用内切圆的圆心和圆的半径垂直于切线的性质,将三角形分割为三个可求解面积的小三角形,这种分割法求面积是最常用的求解方法之一,基本思想就是将未知的图形面积转化为已知图形的面积,将大图化小图,将大问题分解为小问题,直到我们可以求解为止,这样的思想并不局限于几何求面积,也不局限与数学问题,在生活中,这都是一个很重要的方法。
对公式五带入正弦定理有:



记为
公式七
。
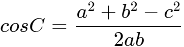
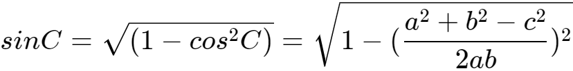
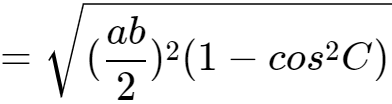
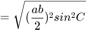
利用余弦定理我们可以将角转化为边,由

,可以得到

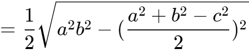
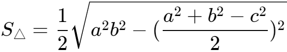
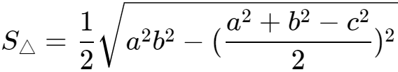
所以


记

为
公式八
,此式又称为
秦九韶公式
。
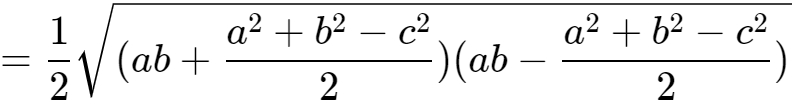
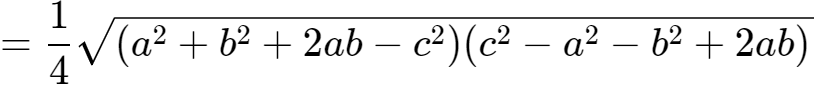
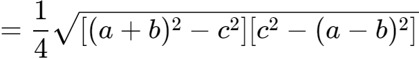
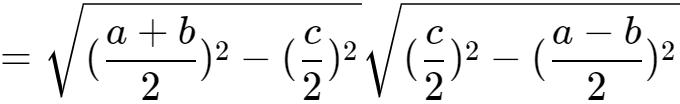
我们对秦九韶公式进行一些变换:


(平方差公式)



当我们遇到三角形三边和与差的问题时,记住这个变形的公式,往往会给解题带来新的思路和便捷。
秦九韶公式还可以经过变换得到一个形式很整齐的公式,叫做
海伦公式
,形式如下:


即是半周长。我们将此式子记为
公式八
。
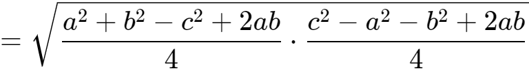
为了完整,我们逆向证明一下这个公式。
由于



由余弦定理

,代入上式得:


=


上式结果为公式二,证毕。
将秦九韶公式完全展开整理可得:

。
由于三角形就是三条线段所围成的图形,也是平面几何,乃至立体几何中,都是属于最简单的一种封闭图形,因此它的地位可以说是几何的基石。既然三条线段就可以决定了一个三角形的形状(关于三角形形状的确定,我将会在另外的文章里详细说明),那么它的面积自然就一定可以用三条边长来给出,于是秦九韶公式就很自然地成为研究对象了,但是到具体应用的时候,往往需要变形得到新的公式,虽然秦九韶公式和海伦公式本质上是一样的,但是到了具体求解问题时,它们却会有着不同的用途,因此,我们需要有一种变形变通的能力,对应于生活也一样,同一件事物,或者本质一样的事物,其表现形式不同,也会有不同的用处,或者是不同的解决方案。
由公式一和公式二,

于是

记为
公式九
。
对比公式三和公式五,可以得出

,带入上式,便有:

记为
公式十
。
类似于公式十这样的公式,看起来好像没用,因为其中包含了a、b、c、A、B、C全部的量,若要是知道了这么多的量,面积早就由公式二、公式八得出了,哪里还需要这个?其实不然,公式十表达的意思是:当我们知道了三边的乘积,三边的和,以及三个角的正弦值之和,这三个量时,我们就可以直接求解面积了,而不需要知道边长和角度的具体值。
总结
:以上公式所涉及的量都是三角形中最为常用的量,即边长和角度,所推导出的三角形面积公式也是常用的公式,其中公式一、公式二、公式五、公式七最为常用,而公式四和公式六将会在日后的文章里表现出特别的意义。





























