花色甙 这些食品中的花色苷的种类及解析方法你知道吗?
花色甙 这些食品中的花色苷的种类及解析方法你知道吗?
花色苷属黄酮类化合物,是广泛存在于植物中的水溶性天然色素,据统计27个科,73个属的500多种植物含有花色苷,以葡萄皮、蓝莓、黑枸杞等含量最为丰富。花色苷因其资源丰富和安全无毒,同时拥有一定的营养和药用价值,在食品、医药、化妆品等方面拥有较大的发展市场。

花色苷的分类
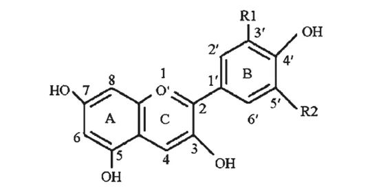
花色苷不仅结构多样,而且数量很大,主要包括天竺葵色素(Pelargonidin)、矢车菊素(Cyanidin)、花翠素(Delphinidin)、芍药花苷配基(Peonidin)、矮牵牛苷配基(Petunidin)及锦葵色素(Malvidin)6种非配糖体(Aglycone),花青素的骨架结构下图所示。

花青素的骨架结构
自然界中花青素少以游离态的形式出现,常与一个或多个葡萄糖、鼠李糖、阿拉伯糖、半乳糖等通过糖苷键形成花色苷。
花色苷的提取方法
花色苷类化合物的提取方法很多,主要有以下几种方法:
1.酸性溶剂萃法。原料通过酸(醋酸、柠檬酸、酒石酸和盐酸)浸提后(提取使用的溶剂为甲醇、乙醇、沸水和丙二醇,甲醇使用最为广泛)过滤、浓缩得到产品。试验表明在pH为3.5、50℃下,用50%乙醇浸提60min,提取1次,提取率为5.8%。
2.水提取法。用热水在不同压力条件下浸提浓缩得到产品。
3.超临界流体法。试验证明葡萄籽中原花青素提取工艺的最佳条件为乙醇体积分数69.22%,CO25L/h,提取时间62.82min,料液比1∶1.13,提取温度55℃,提取压力35MPa。
4.微波提取法。研究表明,采用微波辅助法提取葡萄籽中的原花青素较同等水浴条件浸提量增加1.715mg/g。超声波辅助提取法。利用超声波加速破碎被提取细胞的细胞壁,从而提高提取效率。研究发现,超声波提取温度对提取效果影响最大。
5.酶提取法。研究发现响应面优化的酶法提取工艺有利于提高黑果枸杞花色苷提取率。
6.微生物发酵提取法。
花色苷的功效抗氧化活性
物体在代谢过程中产生ATP 和氧自由基,生物体内的细胞会被氧自由基伤害,导致生物膜结构中的脂质发生变性、老化和破坏。氧自由基与DNA 会产生氧化交联反应导致一系列的疾病,如肿瘤等。研究表明,花色苷能有效抑制氧自由基,维持机体内的氧自由基平衡。花色苷类化合物的分子中含有多个酚羟基供体,是天然的自由基清除剂。花色苷不仅可以结合蛋白抑制过氧化反应,并且提供质子,有效地去除脂质自由基,切断脂肪链反应中的氧化环节,从而抑制脂质过氧化反应,增强了内源性抗氧化物质的水平,抑制自由基链反应的启动以及控制自由基反应的传播。
保护心血管
花色苷具有降低血压、血脂、保护血管、抑制血小板聚集的作用。Fitzpatrick等研究发现,血管内皮细胞中一氧化氮合成酶被花色苷刺激后,血液中NO的含量显著提高,NO可以舒张血管降低血压。通过保护血管内壁胶原蛋白、弹性透明质酸的大分子结构,从而起到保护血管的作用。所以,花色苷可以刺激血管扩张因子,松弛主动脉血管。
抗癌
花色苷具有一定的抗癌作用:Bishayee A等研究发现花色苷可以降低肝癌癌前异常增生的发生率等,具有预防肝癌的作用。第一,花色苷能够调节与癌细胞有关的酶,阻止、抑制其入侵细胞。Galvano发现花色苷可以抑制分裂素蛋白致活酶的活性,进而抑制肿瘤的转移、生长,该研究第一次证明了花色苷的抗癌作用。第二,Boivin等发现矮生蓝莓可以抑制癌细胞株的生长,其机制为阻断癌细胞的增殖周期。
花色苷的解析方法简介
总花色苷测定(分光光度法)
以矢车菊素-3-葡萄糖苷为标准品,建立标准曲线,一定条件下提取后的样品,在520nm 条件下测定,标准曲线法定量。
标准方法检测
目前测定花青素/花色苷的标准方法有:GBT22244-2008、NYT2640-2014等。适用于植物源性食品中花青素、前花青素等物质的测定,使用方法主要是高效液相色谱。
未知花色苷解析
通过分离纯化、超高效制备液相分类获得较单纯的花色苷样本,通过NMR、LC-Q-TOF等仪器对其进行结构解析,确定相应花色苷的结构组成。



























