高等数学:利用定积分求面积
高等数学:利用定积分求面积
今天我们以例题铺开,教大家如何利用定积分求出图形的面积。看好了:

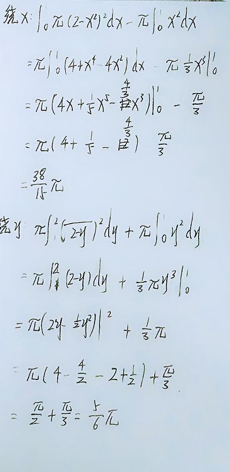
什么叫做旋转体,你可以这样想,就是一个图形绕着x或者y轴转一圈所得到的图形。首先,你看一眼,我是不是可以先把它的面积写出来(既然是旋转体,那么它的剖面图必然是圆)。注意我说的是你先把一个小剖面的面积写出来,就是Πr²。这个剖面图是你想象的,而不是在这幅图表示的。完了之后,我们就进行积分运算。拿这个绕x旋转为例,正是无数个0与1之间的剖面图叠加在一起才组成了这个立体图,所以他们的积分就必然是体积了。

第二个大家要注意是对Y积分,因为它是对y旋转嘛。再就是不要忘了平方,还有Π。
但是我做这套题的时候,突发奇想一下,想换种方式做,却做错了,着错在哪里?

从平面上来讲,似乎表示的面积都相等可是你一积上分,那就不同了,你想象一下立体图,我这么写,便是的就这这份图形直线在绕x转了,他们在同一剖面的面积就不同(不是我画的图,是你想象的剖面图),体积就更不同了。
谢谢大家的阅读,祝大家期末考试顺利!























