安全 | 安全管控中,什么是重大危险源等级划分?
安全 | 安全管控中,什么是重大危险源等级划分?
1 重大危险源的国标等级划分:
针对危险化学品的重大危险源,国家标准GB18218《危险化学品重大危险源辨识》是重要的依据,对企业的安全管理体系提出了严格要求,确保企业进行合规管理。在线监测与AI智能监控技术的结合使得危险源管理更加精准和高效。国家标准 GB18218《危险化学品重大危险源辨识》中关于危险化学品重大危险源等级划分如下:
1.1 分级指标:
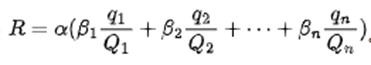
采用单元内各种危险化学品实际存在(在线)量与其在 GB18218 中规定的临界量比值,经校正系数校正后的比值之和 R 作为分级指标。
R的计算公式为:

q1,q2……qn:每种危险化学品实际存在(在线)量(单位:吨);
Q1,Q2……Qn:与各危险化学品相对应的临界量(单位:吨);
β1,β2……βn:与各危险化学品相对应的校正系数;
α:该危险化学品重大危险源厂区外暴露人员的校正系数。
1.2 分级标准:
一级为最高级别,四级相对危险程度最低。

危险化学品重大危险源级别和R值的对应关系
2 六种重大危险源辨识方法
2.1 死亡半径法:
根据重大危险源发生事故时可能造成的致命范围(“死亡半径”)来评估危险程度的一种方法。它主要用于评估爆炸或有毒物质泄漏等事故的影响,计算事故发生时产生的冲击波、火焰或毒气的致命范围,从而判断危险源的等级。
2.2 易燃、易爆、有毒重大危险源评价法:
通过对易燃、易爆和有毒物质的特性及其潜在风险进行评估,确定这些物质在生产、储存或运输中的危险源等级。通常结合物质的物理化学性质,如闪点、爆炸极限、毒性等参数,进行危险源分析。
2.3 物质分级法:
依据化学物质毒性、易燃性、爆炸性和环境影响分级。综合这些特性确定物质危险程度,这种方法主要用于结合危险物质的物理和化学特性进行风险评估,从而帮助制定更加精确的应急管理策略。
2.4 LOPA(层次保护分析):
通过逐步分析每个保护层的有效性和可能失效的概率,与标准比较确定风险等级,以此判别危险源等级。
2.5 FMEA(失效模式与影响分析):
该方法通过将系统分解识别系统中的潜在失效模式及其影响,用风险优先数计算,数值越高越危险。通过评估部件或子系统风险,找出重大危险源。
2.6 HAZOP(危险与可操作性研究):
把工艺过程分解为节点,用引导词和工艺参数识别偏差,分析偏差原因与后果确定风险等级。用于工艺工业中发现和评估潜在危险源的一种系统方法,通常用于化工、石油和天然气行业。

3 重大危险源的动态管理
重大危险源管理不是一次性的活动,而是一个持续动态管理的过程。借助物联网技术和在线监测系统,企业可以实时跟踪生产环境的变化。AI分析还可以自动优化危险源识别和风险评估过程,从而及时调整管理措施,确保安全。
3.1 在线监测系统:
危险化学品储存和使用场所通常会安装气体检测、压力和温度监控设备,实时监测生产条件和环境参数。
3.2 定期评估:
企业应定期进行重大危险源的风险评估,确保在设备、工艺或管理方式发生改变时能够及时识别新的潜在危险源。
3.3 应急响应和演练:
一旦危险源发生变化,企业应更新应急预案,并定期进行应急演练,以确保员工能够迅速应对突发事件。
4 重大危险源的应急管理
4.1 应急预案:
企业必须制定详细的应急预案,明确人员疏散、物资调配、事故控制等应对措施。同时结合在线监测系统,通过数据分析优化应急方案并及时发现潜在风险隐患,提升事故发生时的应对速度与准确性。
4.2 应急演练:
定期开展应急演练是确保应急预案有效性的重要途径。通过演练,企业可以发现预案中的不足,并加以改进。
4.3 应急设备配置:
针对不同的危险源,应配备相应的应急设备和物资,如灭火器、化学防护服、应急照明设备等。
4.4 信息沟通:
应急响应时的信息沟通至关重要,企业应建立内部与外部的多方联动机制,确保在事故发生时信息传递迅速、准确。

5 事故案例与教训
5.1 1986 年切尔诺贝利核事故:
电站发生严重核泄漏的特大事故,主要原因是:人为关闭保护系统、违规操作控制棒及对反应堆特性认识不足。该事件凸显了系统设计缺陷与人为因素对重大危险源管理的关键作用。
5.2 天津港“8·12”危险品爆炸事故:
由于危险化学品的储存不当和管理不善,仓库内硝化棉自燃导致了大规模爆炸事故。这一事故表明在危险品管理中,规范储存和应急反应的重要性。
结语
安全文化建设是重大危险源管理的软实力。通过培育良好的安全文化,提升员工的安全意识和责任感,企业可以显著减少不安全行为和操作失误,从而减少重大事故发生的可能性。应急管理软件系统的应用同时协助人工巡检巡查,提供合理的应急管理方案、通过智能化数据分析及时优化调整。
END
联系我们-北京大唐思拓信息技术有限公司
点击链接解锁更多:标准化管理生产MIS管理软件系统_领先的智慧型管控平台_大唐思拓
官网电话:400-705-9928
销售热线:13787098701(黄)
销售热线:13548733339(贺)
技术咨询:18674883479(熊)





























