建筑声学一般用在哪些地方(建筑声学笔记之一)
建筑声学一般用在哪些地方(建筑声学笔记之一)


分享可以推动行业发展,交流可以提升行业整体水平,发声可以提高机电行业关注度。机电人脉本年度邀请了行业内善于总结的一线地产机电甲方入驻平台,为大家带来项目实用的原创知识总结及经验分享。
机电原理
作者授权发布,欢迎关注
什么是声学
声学是物理学的一个二级学科,是研究媒质中机械波(即声波)的科学,研究范围包括机械波的产生、接受、转换和机械波的各种效应。最简单的声学就是声音的产生和传播,这也是声学研究的基础。简单点说声学就是研究声波的科学。
声学有哪些分支
这个可以看一下经典的美国著名声学家林赛1964年提出的声学范围图。圈出来是本文会涉及的一些声学的内容。

声音、声波、频率、波长
声音是由物体振动产生的声波通过介质(空气或固体、液体)传播并能被人或动物听觉器官所感知的波动现象。
声波是声音的传播形式,发出声音的物体称为声源。声波是一种机械波,由声源振动产生,声波传播的空间就称为声场。
声波传播示意:声波造成与声源不同距离处的压力变化,中间的一条水平线代表空气处于正常的大气压力,起伏曲线代表因声波经过时空气压力的增加和减少,这条波形曲线随着时间变化的像水面的波纹一样,所以称为声波。

波长=波速/频率,
波速一般是340米/秒;人耳听到的声音的频率是20HZ~20KHZ,所以得出人耳听到的声音的波长:0.017m~17米。
声波是“纵波”,它的传播方向和振动方向相同。


根据定义,频率是声音的音调或音符的量度。诸如长笛的声音很高,声音低至2000Hz,而诸如大号的声音则声音很低,低于30Hz。重要的是要注意,人类只能听到20Hz到20,000Hz之间的声音-随着年龄的增长,能感知声音范围会逐渐缩小。

声速
声音的传播需要物质,物理学中把这样的物质叫做介质。
声音在不同的介质中的传播速度不同;一般说来,音速的数值在固体中比在液体中大,在液体中又比在气体中大。音速的大小还随大气温度的变化而变化,在对流层中,高度升高时,气温下降,音速减小。在平流层下部,气温不随高度而变,音速也不变,为295.2米/秒。空气中的音速,在标准大气压条件下约为340米/秒,或1224公里小时。
真空0m/s(也就是不能传播)空气(15℃)340m/s空气(25℃)346m/s软木500m/s煤油(25℃)1324m/s蒸馏水(25℃)1497m/s海水(25℃)1531m/s铜(棒)3750m/s大理石3810m/s铝(棒)5000m/s铁(棒)5200m/s
声音的反射

声波在传播过程中,如果遇到表面有凸凹变化的反射面,就会被分解成许多小的比较弱的反射声波,这种现象称为扩散反射。
(1)对频率为100Hz声音的定向反射,声音的波长(3.4m)远远大于表面的不规则性;对波来说仍是平面,反射为镜像反射。
(2)对频率为1kHz声音的扩散反射,声音的波长(0.34m)与表面不规则的尺度相当(>波长1/7)反射为扩散反射。
(3)对频率为10kHz声音的定向反射,声音的波长(0.034m)远远小于表面不规则的尺度,这是由各表面产生的定向反射。
声音全反射
声音在两种介质中传播,当从一种介质传到另一种介质时,声音发生全反射,则该介质是声密介质,声密介质中声速小于声疏介质(这一点与光波相同)。但由于光波和声波性质不同,因此光密介质未必是声密介质。


声音在空气中的速度是每秒340米,而在水中则是每秒1500米,所以对于声波来说,空气反倒成为了声密介质,而水则是声疏介质。如此一来,全反射现象就将发生在声音从空气传到水面的时候,对于声波来说,其全反射的临界角为13.1°,也就是说大部分声音都无法进入水下,所以在水里是很难听到外边有什么声音。
声波的衍射

当声波在传播过程中遇到一块有小孔的障板时,并不像光线那样直线传播,而是能绕到障板的背后继续传播,改变原来的传播方向,这种现象称称为绕射。如果孔的尺度(直径d)与声波波长A相比很小时,小孔处的空气质点可近似看作一个集中的新声源,产生新的球面波。当孔的尺度比波长大得多时新的波形则比较复杂。声波的频率谱越低绕射的现象越明显。
声波的透射与吸收

当声波入射到建筑材料或部件时一部分声能被反射,一部分被吸收,还有一部分则透过建筑部件传递到了另一遍。声波在空气中传播时,由于振动的空气质点之间摩擦使一小部分声能转化为热能,常称为空气对声能的吸收。高频吸收较多,低频吸收较少。声波投射到材料或部件引起的声吸收,取决于材料及其表面的状况、构造等。材料的吸声效率是用它对某一频率的吸声系数衡量。材料的吸声效率是用它对某一频率的吸声系数衡量。
多普勒效应

当列车进站时,我们听到汽笛声不仅越来越大,而且音调升高;列车离去时,汽笛声不仅越来越小,而且音调降低。这种由于波源或观察者的运动而出现观测频率与波源频率不同的现象,称为多普勒效应。
近场、远场、自由场、扩散场

1、远场
声远场定义为在距声源2个波长距离处开始,至无穷远处,如下图所示。由于波长与频率有关,因此不同的频率的声音,实际远场的物理范围是不同的。
在远场中,声源可以认为是足够远,所有它可以看成是一个点。在此距离下,声波的包络面球形的半径足够大,可以近似为平面波,而没有曲率。此时,单个麦克风就能测得准确的结果,并且距声源的距离每增加一倍,远场的声压级将下降6dB。在许多声学标准中,通常会指定距发声物体至少一米的距离进行测量,以确保所关心的频率段已经处于远场。
2、近场
当近距离的靠近声源时,声波的表现就复杂多了,同时声压和距离也没有固定的关系了。当靠声源非常近时,声音在声源的振动表面附近来回循环,不会向外传播。当我们稍稍远离声源时,部分声场能量会继续来回循环,另外的则会传播出去,如下图所示。
声音在近场传播时,来回循环的与向外传播两种形式的能量混合在一起,使得声音的传播与距离没有固定的关系,因此传播的方式是不可预测的,直到达到2个波长的距离后,才会按照正常的规律进行传播。当测量近场中的声压时,使用单个麦克风进行测量可能不准确。
3、自由场
在自由场中,是没有任何声音的反射的,声波从声源直接传递到接受者处,也就是说,声波值向外传递一次,不会再返回。
如下是两个自由声场的典型案例:
声源距离足够远,以至于它可以被看作是点声源,距离很远,比如在晴朗的天气中在高空飞行的飞机发出的声音。全消声室就是一种特殊的自由声场,它通过布置在四周的吸音材料将直达的声音全部吸收,不会进行反射。
4、扩散场
扩散场中的,声波从各个方向到达接受者的位置。在扩散场中使用麦克风测量声压,各个位置的幅度都是相同的,即,声音水平到处都是一样的。用于进行声学材料测试的混响室如下图所示:
进行混响室设计时,使用倾斜角度的反射墙是一个重要的因素,因此墙之间不会相互平行,这会是声波在房间周围被反射最多次,从而有助于形成扩散场。通常,墙壁会做成半球形状的凸起,以增加波扩散,从而增加声场的扩散性,如上图所示。

有时候,很难通过肉眼的观察来确定目前的声场到底是什么声场,不过可以通过如下的一些客观判断方法进行判别:
如果在自由场中,离声源的距离加倍时,声压级降低6dB。在诸如混响室的扩散场中,无论在何处使用麦克风测量声压,都是相同的。
区别:
声场零反射,声场内仅存在直达声;声场中的声压处处相等,且声场内无任何吸声作用。
上述这两个极端声学环境分别是自由场和扩散场。
声压

声压可以类比成电压(和电压真的很像,比如均方根值,有效值等于最大值/根2,看起来就觉得亲切),用来反映声波强弱。
声压是指相对于无声时压力的改变量;声压表示该噪声源产生的声波,对空间内某点的大气压强有所扰动,而扰动引起的大气压强变化,就是声压。
存在声压的空间称为声场。声场中某-瞬时的声压值称为瞬时声压。在一定时间间隔中最大的瞬间声压值称为峰值声压或巅值声压。如果声压随时间的变化是桉简谐规律的,则峰值声压也就是声压的振幅。在一定时间间隔中,瞬时声压对时间取均方根值称为有效声压。声压的大小反映了声波的强弱,声压的单位为Pa(帕)。对于简谐波,有效声压可以表示为:

下面举出一些有效声压大小的典型例子:人耳对1kHz声音的可听阈(即刚刚能觉察到它存在时的声压)约2X10-5Pa;微风轻轻吹动树叶的声音约2X10-4Pa;在房间中的髙声谈话声(相距1m处)约0.05Pa~0.1Pa;交响乐演奏声(相距5m~10m处)约0.3Pa;飞机的强力发动机发出的声音(相距5m处)约200Pa。

声功率
这个就是功率了,声音的功率和其他功率差不多,声源振动介质就是机械做功。
声源辐射声波对外做功。声功率是指声源在单位时间内向外辐射的声能,记为W,单位为(W)或微瓦(μW,10-6W)
声强
声强可以类比成电功率和压强的结合体,是单位面积上的功率,数值上和声压的平方成正比,类似于功率和电压的平方成正比。
声强指声波传播的能流密度,即在单位时间内通过垂直于传播方向上单位面积的声音能量。声源在某点发出的声波,向外传播,声强I的单位是W/m2。

声强=【有效声压的平方】除以【空气密度*空气中音速】(有效声压是指瞬时声压对时间取均方根值,平常也指声压,两者可以运算不可等同);在自由场中,声强与介质密度与声速的乘积成反比,而与该处的声压的平方成正比,即:

(功率=电压的平方除以电阻,一样的配方)
式中:
p——有效声压,2/mN;
p0——空气密度,3/mkg;
c——空气中的声速,s/m;
p0c——空气的介质特性阻抗,20o时,其值为415(N⋅s)/3m。
凡能引起正常听觉的声波,对声强有一定范围的要求,这个范围跟声波的频率有关,对于每个特定频率的声波,要引起听觉,其声强有大小两个极值.若根据正常听觉的实验结果,以频率为横坐标,以声强为纵坐标,将各种频率的声强上下限坐标连起来,低于下限的声强,不能引起听觉.凡超过上限的声强,使人耳有痛感.故上下限曲线间的区域即为听觉范围。因此凡能引起人的听觉的声波,除对频率要求在20-20000Hz外,还要求声强范围在10-12-1W/m2。
声强与声压幅值或质点速度幅值的平方成正比;此外在相同质点速度幅值的情况下,声强还与媒质的特性阻抗成正比,例如在空气和水中有两列相同频率、相同速度幅值的平面声波,这时水中的声强要比空气中的声强约大3600倍,可见在特性阻抗较大的媒质中,声源只需用较小的振动速度就可以发射出较大的能量,从声辐射的角度来看这是很有利的。
声阻抗率与媒介质的特性阻抗
ρ0c(ρ0介质密度,c介质的声速)值是媒质固有的一个常数,这个量在声学中具有特殊的地位,考虑到它具有声阻抗率的量纲,所以称ρ0c为媒质的特性阻抗.单位为N•s/m3或Pa.s/m。(类比成电阻吧,介质的本身特性)
对空气,当温度为0压强力标准大气压A=1.013X106Pa时,ρ0=1.293kg/m3,c=331*6m/s,ρ0c=428N•s/m%。
当溫度为20时,ρ0=1.21kg/m3,c=344m/s,ρ0c=415N.s/m。
对于水,当温度为20°0时,ρ0=998kg/m3,c=1480m,ρ0c=1.48XI05N.s/m3。
平面声波的声阻抗率数值上恰好等于媒质的特性阻抗,如果借用电路中的语言来形象地描述此时的传播恃性的话,可以说平面声波处处与媒质的特性阻抗相匹配.
dB分贝-声压级和声强级关系
因为声振动的能量范围极其广阔,人们通关系常讲话的声功率约只有10-5w,而强力火箭的噪声声功率可高达109W,两者相差十几个数量级.显然对如此广阔范围的能量,用对数标度要比用绝对标度方便些;另一方面从声音的接收来讲,人的耳朵有一个很“奇怪”的恃点当耳朵接收到声振动以后,主观上产生的“响度感觉”并不是正比于强度的绝对值,而是更近于与强度的对数成正比。基于这两方面曲原因,在声学中普遍使用对数标度来度量声压和声强,称为声压级和声强级其单位常用dB(分贝)表示(声强I与标准声强I0之比的对数称作声强I的声强级,用L表示,即L=lg(I/I0).单位为贝尔,用Bel表示,不过这个单位在实用上太大,故常更用贝尔的1/10,即分贝(dB)作为单位。(这个让我想起电气的标幺法来,都是为了看起来方便,结果弄得没有那么直观了)
声压级是大气压强变化值与参考声压(参考声压2X10-5Pa,该值是正常青年人耳朵刚能听到的1000Hz纯音的声压值)的比值的对数对数值的20倍,或者说声压平方对数比值的10倍比较好。


声强级是声强值与参考声强的比值的对数对数值的10倍。在空气中,参考声强L一般取10-12W/m2,这一数值是与参考声压2X10-5Pa相对应的声强(计算时取空气的特性阻抗为400N.s/m),这也是1kHz声音的可听阀声强。


一般条件下空气中声压级与声强级数値上近于相等;但在其他情况下会有一些变化。例如在水中很小的声强就可以产生一个很大的声压,在高压空气稀薄的地方很大的声强才能产生一个很小的声压,所以我们在青藏高原上说话要更大声的喊。听觉的绝对阈限是人的听觉系统感受到最弱声音和痛觉声音的强度;它只与频率和声压有关。

就是因为在论述过程中,上述三者均可能会用dB表示,所以会产生混淆。所以可以通过类比的方式,来解释这三者之间的区别与联系。
这三个术语都是对声音进行不同方面的测量,均可用分贝dB表示,如下图所示。此处的分贝并不是度量单位,与声压相似,dB不是一个直接的度量单位,而是通过测得的值与基准值相比再取对数得到的。

为了使读者对声压级的大小有一个粗略数量概念,举一些典型例子:人耳对频率为1kHz声音的可听阈为0dB;徽风轻轻吹动树叶的声音约14dB;在房间中髙声谈话声(相距1m处)约68dB~74dB;交响乐队演奏声(相距5m处)约84dB;飞机强力发动机的声音(相距5m处)约140dB;—声音比另一声音声压大一倍时大6dB人耳对声音强弱的分辨能力约为0.5dB。

响度、响度级与等响曲线
响度,它除与和声源的距离有关外,还取决于人耳的灵敏度,即同一声强的声波对于不同人来讲,响度可能不同。
直观上的“响”与“不很响”的感觉在声学上如何定量描述呢?这个问题的复杂性在于人耳感觉的“响”或“不响”与声波的强度既有关,又不完全是一回事。实验表明,它不仅与声波强度的对数近于成正比,而且与声波的频率也有关,例如对两个声压同为0.002Pa、但频率不相同的纯音(如分别为100HZ及1000HZ)人耳听起来却不一样响,实验表明,要使100HZ的纯音听起来和0.002Pa的1000HZ纯音同样响,它大约应有0.025的声压。
响度是人耳判别声音由轻到响的强度等级概念,响度的单位叫“宋”。1宋的定义为声压级为40dB,频率为1000Hz,且来自听者正前方的平面波形的强度。如果另一个声音听起来比这个大几倍,则声音的响度为几宋。
实用上为了定量地确定某一声音的轻与响的程度,最简单的方法就是把它和另一个标准的声音(通常为1000HZ纯音)相比较,调节1000HZ纯音的声压级,使它和所研究的声音听起来有同样的响,这时1000HZ纯音的声压级就被定义为该声音的响度级,响度级的单位称为方。例如,当1000HZ纯音的声压级为80dB时与某一扬声器发出的音听起来同样地响,那么不管扬声器声音的声扭级为多少,它的响度级被认为是80方。按照以上规定,显然对1000HZ的纯音,其以分贝计的声强级与以方计的响度级数值上是相等的。人们曾做过很多实验以测定响度级与频率及声压级的关系,下图就是一般人对不同频宰的纯音感觉为同样响的响度级与频率的关系曲线,通常称为等响曲线。由于这些曲线的纵坐标是测量靠近耳朵处的声强级,这时外耳道的腔共振提高了4000HZ附近的灵敏度,如果纵坐标是测量耳膜处的声强级,那么人耳对1000HZ声音最灵敏,对低频及高频声波的灵敏度都要大大降低。
响度与响度级的关系。根据大量实验得到,响度级每改变10方,响度加倍或减半。响度级的合成不能直接相加,而响度可以相加。

等响曲线(又称ISO等响曲线)
这个现象,在1933年被两位学者所揭示,分别是是Fletcher(弗莱彻)和Munson(芒森),由于首次双耳听音和相对自由场条件下的完整的等响曲线由Fletcher和Munson给出,等响度曲线又被称之为“Fletcher-Munsoncurves”,即“弗莱彻芒森曲线”。
人耳刚刚能听到的声音,其响度级即零响度级曲线称为可听阈,一般讲来,低于此曲线的声音就不能听到;图中最上面的曲线是痛觉的界限,称为痛觉阈,超过此曲线的声音,人们的耳朵感到的更的是痛觉。由曲线可以看出,人耳能感受为声音的声能量(声强)范围达1012倍(声强:一万亿倍,相当于120dB,声压范围达106倍,100万倍)。
从人耳的等响曲线可以看出一个违反常识的结果,即当一个复音(包括许多频率纯音的声音〉的全部频率成分的强度都提高或降低同样数值时,会使它的音色改变,例如一个乐队演奏,假如低频声和髙频声都在100dB左右录音,因为这时的等响曲线差不多是水平的,所以低频声和高频声听起来有差不多同样的响。而如果还音时强度级较低,例如为50dB,这时50HZ的声音才刚刚能听到,而1000HZ的声音听起来却有50方响,其他不同频率的声音都有不同的响度级,因此听起来就感到低频声和高频声都损失了,也就是原来的音色巳经改变了,所以在还音时为了不改变原始音色,就要按照图所示的等响曲线对不同频率声音作不同程度的补偿。
计权声级及-A计权声级dB(A)
说了等响曲线再说计权声级就比较容易了;为了使声音的客观量度和人耳的听觉主观感觉近似取得一致,通常对不同频率声音的声压级经某一特定的加权修正后,再叠加计算可得出噪声总的声压级,即为计权声级。为了使声音的客观量度和人耳的听觉主观感觉近似一致,一般在声测量中采用计权声级。
A计权声级:以40方等响曲线的倒置曲线为权重,从倍频带声压级合成的声级,表征人耳对低声级的响应。经过多年来的实践和研究表明,用A计权网络测得的声级与由宽频率范围噪声弓|起的烦恼和对听力危害程度的相关性较好,而且用单一声级测量又比较方便,因此近年来测量一般宽频率噪声多用A计权声级。自从人们在40phon等响曲线的基础上提出了A计权修正曲线,并将由此确定的声级定义为A计权声级(用dB(A)表示),A计权声级被广泛应用于噪声的量度和评价中。虽然历史上还曾经出现过B计权和D计权,但在IEC61672:2013中只定义了现在常用的三种计权A、C、Z计权。C计权以100phon的等响曲线为基础,反应的是在较高声级时人耳对低频噪声敏感性的提升。Z计权是Zero计权的简写,实际上是平直的不经过任何计权的意思。



A、C和Z计权的修正量曲线
A计权声级是模拟人耳对55dB以下低强度噪声的频率特性。
B计权声级是模拟55~85dB的中等强度噪声的频率特性,几乎不怎么用。
C计权声级是模拟高强度噪声的频率特性。
D计权声级是对噪声参量的模拟,专用于飞机噪声的测量,此标准已于2005年作废。

国际电工委员会IEC61672-2-2003对A、C、Z频率计权的范围定义(部分频率)频率单位:Hz计权单位:dB(A)、dB(C)、dB(Z)

A计权的1/3倍频程修正值数值表
8音倍频程转换为A计权修正值可以通过以下的公式进行计算:

关于计权选择:
1、在环境噪声声级测量中选择A计权,目的是反映人对噪声的主观感觉,用于噪声评价(NR:Noise Rating)的主要指标;
2、在有效声(音乐、测试信号等)声级测量中选择C计权或不计权(Z/None/Flat),目的是用于了解可听声范围内的总声压级;
3、音响产品在研发过程中测试的幅频响应曲线选择不计权(Z/None/Flat),目的是如实反映产品的原始特性;
4、音响系统在多数扩声应用现场优化中测试的幅频响曲线选择C计权,目的是趋近实际应用的主观听感需求。
NC、NR、RC曲线
虽然A计权声级至今仍被广泛使用,但A计权声级的也有局限性。从等响曲线的变化中也可以看出,A计权曲线是根据1933年Fletcher和Munson的等响曲线制定,与现行的等响曲线有较大的差异。另外众多研究表明A计权声级在评价低频噪声成分时与人的主观感觉有较大偏差。
从A计权和C计权的计权曲线的对比中可以看出,当噪声低频成分比较丰富时,则C计权声级LC的值要大于A计权声级LA的值;而当噪声的频谱成分以中高频为主时,C计权声级LC的值与A计权声级LA的值就很接近。因此,C计权声级LC和A计权声级LA之差(即LC-LA)也往往被用来判断噪声的频谱特征。有部分学者将两者差值LC-LA>15dB作为将噪声定义为低频噪声的判断准则,并认为LC-LA>15dB时用A计权声级评价噪声是不合适的。由此各国的学者提出了各种修正,但没有一个能获得A计权声级同样的认可。
既于是一些国家的噪声法规中提出了对低频噪声的频谱限值要求,作为对A计权声级的补充。我国的GB22337-2008等标准中也对低频噪声提出了特别限定要求。

欧洲一些国家提出的低频噪声限值

对室内噪声更加细致的控制一般用NR或NC曲线,在欧美对产品的噪声要求及室内噪声要求中被广泛使用。NR曲线的英文叫Noise Rating Curve(噪声评价曲线),是ISO根据Kosten和vanOS的研究提出的噪声评价曲线。

NR评价曲线

NR评价表
NR曲线评价的方法就是将所测得的噪声频谱与NR曲线的标准频谱对比,取与其相切的最大曲线值,并向上缘整定到整数值,即为所得噪声频谱的NR数。如测得下表的噪声倍频程频谱值,将这些频谱值画在NR曲线图中,由此可以确定该噪声与NR曲线最大相切点是2kHz处,对应圆整后的整数曲线值为58dB,所以我们说该噪声满足NR58的要求。

某噪声的倍频程频谱

图线法进行NR曲线评价
8音倍频程转换为NR值可以通过以下的公式进行计算:


由于NR曲线是由欧洲人提出的,因此NR曲线在欧洲被广泛使用。而在美国主要采用Beranek提出的NC曲线。NC曲线的英文全称叫Noise Criterion Curve(噪声评价数曲线)。NC曲线与NR曲线的特点相似,相对来说NR低频部分要求更严格一些。NC曲线与A声级和NR曲线有以下近似关系:

对比NR和NC曲线可以发现,NR曲线的低频到31.5Hz,而NC曲线低频端仅到63Hz。著名声学家Bies和Hansen是这样评述NC曲线的:“NC曲线是应人居空间内的噪声可接受程度评价而提出的。但由于缺乏在31.5Hz处的定义,它并不能考虑低频的轰轰声(rumble noise);而他在2000Hz以及高频又过于宽松,使其在评价空调噪声时,他与主观反应的相关性不是太好。”
采用相切的方法确定噪声等级的数值,其数值等于噪声频谱曲线与NC曲线相切的曲线中最高的一条的数值,并不要求噪声曲线与评价曲线形状相似。因此,NC评价曲线也无法用来评价噪声质量。但在不产生大量低频噪声的空调末端系统中,如果对噪声质量要求不是很高,NC曲线还是能够较反映人对空调背景噪声的满意程度。

NC评价曲线
NC曲线的评价方法与NR曲线是类似的。将上边表中的数值画在NC曲线图中,可以确定该噪声符合NC57的要求。

图线法进行NC曲线评价
为了弥补NC曲线在31.5Hz定义的缺失,Beranek在1989年又提出了平衡NC曲线,称为NCB曲线(Balanced NC Curve)。在NCB曲线中,Beranek不仅把31.5Hz加了进去,而且索性进一步扩展到16Hz。NCB除了纳入了ANSI标准中外,并未得到广泛使用;NCB曲线和NC曲线除了频率范围以外差异不大。Beranek也提出了与NR曲线频段一致的PNC曲线(Preferred NC Curve)。不过被广泛使用的噪声评价曲线仍然是NR和NC曲线,其它曲线只是匆匆过客,直到出现RC曲线。
RC曲线由Blazier发表于1981年,是一套应用于办公楼、住宅等建筑暖通空调系统设计的噪声评价方法,在这些场所中,合理的中频声压级(1000Hz对应的声压级)位于25dB至50dB之间,并且空调系统是它们最主要的噪声源。1987年,RC曲线被ASHRAE(美国采暖、通风与空调工程师学会)采用,作为诊断低频噪声问题的首选标准。1997年,Blazier对RC曲线进行修改,使RC曲线不仅能够用于评价噪声等级,还能够用来诊断噪声音质,修改完善后的RC曲线被定义为RCMarkII,已被ASHARE采用(ASHRAE,2003)沿用至今。RC曲线由一组斜率为一SdB/倍频程的平行曲线组成。RC评价方法包括两个方面,一是RC等级,由频率为500Hz,1000Hz,2000Hz的噪声的平均声压级确定;二是对噪声频谱质量的一个描述参量,评价依据包括低频、中频、高频是否平衡,是否有主导的特定频率的噪声。ASHRAE推荐RC曲线评价方法为最佳评价曲线。

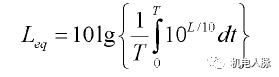
等效连续A声级
A声级能够很好的反映了人耳对噪声强度和频率的主观感受,因此对于一个连续稳态的噪声,它是很好的评价方法。但是对于一个起伏变化或者不连续的噪声,A声级就无法很好的进行评价,比如交通噪声或者间歇运行的机器。对于幅度随时间变化很大的噪声,可以用统计分布来描述。对于大部分噪声,其幅度随时间的变化分布近似于高斯分布,这种噪声的大小可以用等效噪声级Leq表述,它是在时间T过程中噪声声压级的能量平均:一个用噪声能量按时间平均方法来评价噪声对人影响的问题,即等效连续声级,符号“Leq”或“LAeq,T”。

在实际测量中,采样都是离散的,表达式可改写为:

倍频程
建筑声学测量中,为了解声源特性,需了解噪声在整个频谱内分布,即声音的频谱。频带的划分通常是以各频带的频程数n相等来划分。频程数n可用公式表示如下:f2为频带上界频率,f1为频带下界频率。n为几就是几个倍频程,可以是整数也可以是分数。公式所表示的意义是,若某个频带的宽度·为n个倍频程,则2f与1f相差n个倍频程。各个频带一般用其中心频率fc来表示,其中fc=√f1f2。当n=1时,称为倍频带,n=3时,成为1/3倍频带,国际化组织ISO和我国国家标准对倍频带划分的标准规定为:中心频率为31.5、63、125、250、500、1000、2000、4000、8000及16000Hz。将频谱分为若干个频段,每个频段为一个频程。



N=1:一倍频程,简称倍频程
N=3:三分之一倍频程
N=12:十二分之一倍频程
中心频率:

带宽:

倍频程最常用的中心频率值(fm),以及上、下截止频率:

语言干扰级(SIL)
噪声强度表示的一种方法。这种方法是美国L.L.Beranek在40年代末提出的。所谓语言干扰级(SIL)就是在有噪声存在的情况下,其对语言有影响的三个频带(500Hz,1000Hz,2000Hz)声压级的算术平均值。语言干扰级是评价背景噪声对语言交流的干扰或掩盖的一种方法,是语言清晰度计算的简化,它是600~4800Hz频率范围内3个倍频带声压级的算术平均。如果300~600Hz倍频带级比600~1200Hz倍频带级高12dB,则应该取4个倍频带声压级的算术平均。
PSIL:中心频率为500Hz、1kHz和2kHz之间三个倍频带声压级的算术平均值。
SIL3:中心频率为1kHz、2kHz和4kHz之间三个倍频带声压级的算术平均值。
SIL4:中心频率为500Hz、1kHz、2kHz和4kHz之间四个倍频带声压级的算术平均值。
其中ISO建议,以优先频率500、1000、2000Hz为中心的三个倍频带的噪声声压级的算术平均作为语言干扰级,称为优先语言干扰级(PSIL)。利用单值评价量语言干扰级可预测多种噪声对语言清晰度的影响,所得结果与语言清晰度指数的计算结果相近。
人的声音特征
语声主要由声带振动产生,男子的声带长而厚,故发声频率较低,其基音约为150Hz;女声基音比男音高,约为230Hz。汉语普通话的标准平均频谱见图,其他汉语方言的频谱与此差别不大。语声的频谱形状随着嗓音的大小而有较大变化。

由于语言声频率范围并不很宽,因此,用于语言扩声的设备只要在300-4000Hz的频率范围内具有平直的频率响应特性即可满足要求。如果兼顾播放音乐节目的霈要,可采用具有100-4000Hz的平直的频响特性的扩声设备。
人讲话时连续发出声级不断变化的声音,因此,语言声压级通常以长时间平均值表示。一般而言,人用正常嗓音讲话时,在讲者正前方1m处声压级大约为50-65dBA,从最轻的细语至最大的嗓音,其声压级约从40dBA变化至88dBA。实用中可取正常的嗓音66dBA;提高的嗓音72dBA;很响的嗓音78dBA;喊叫时的嗓音84dBA。根据一些实测结果表明,在大于60S的较长时间内讲话时测得的平均声功率输出(包括音节和语句的自然停顿),男子为34uW(共5人,10~91uW),女子为:18uW(共6人8~55uW);如取1/8S短时间统计,其平均声功率则要高得多,男子超过230uW,女子超过150uW。
语言交流的噪声限定值
人们正常语言交流声压级一般为50一65dB(A),一般变化范围可从40dB(A)(耳语)到88dB(A)(最大嗓音),距离人1m处的平均语言声压级为57dB(A)。
当环境噪声增大时人们就需要通过提高音量或者缩短谈话距离来获得满意的交流效果。但当环境噪声大于70dB(A)时提高音量或者缩短谈话距离都难以维持长时间的语言交流。因此在工作场合(交谈距离一般为1.0m)要维持长时间语言交流环境噪声应不得超过70dB(A);但在社交场合人们交谈的距离一般为1.2m较工作场合更远要求环境噪声不得超65dB(A)。
,






























