泰勒公式常用的8个公式(一个神奇的公式)
泰勒公式常用的8个公式(一个神奇的公式)

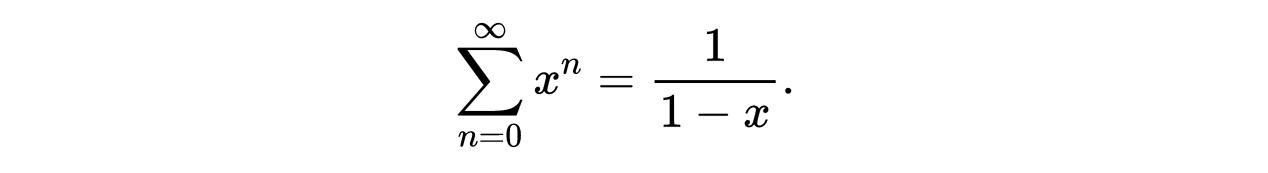
如何推广很多我们熟知的无穷级数?回想一下几何级数:

这个级数只在x的绝对值小于1时收敛。
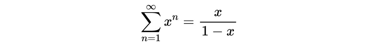
还要注意,如果两边同时减去1,就得到:

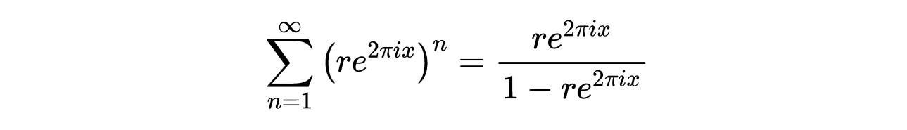
设0 < r < 1,则代入复指数如下:

如果在两边对x积分,我们会得到右边的级数它推广了调和级数(除了r),因为我们需要级数收敛而存在。
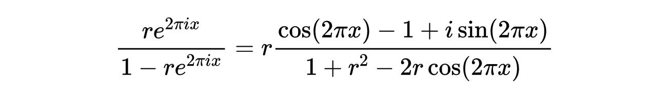
如果我们使用欧拉公式我们可以把复指数变换成它的三角实部和复部,通常的技巧是分子和分母乘以分母的复共轭来分离实部和复部。
当我们这样做的时候,我们得到:

如果我们对x积分,然后对级数做同样的运算,我们得到以下结果:

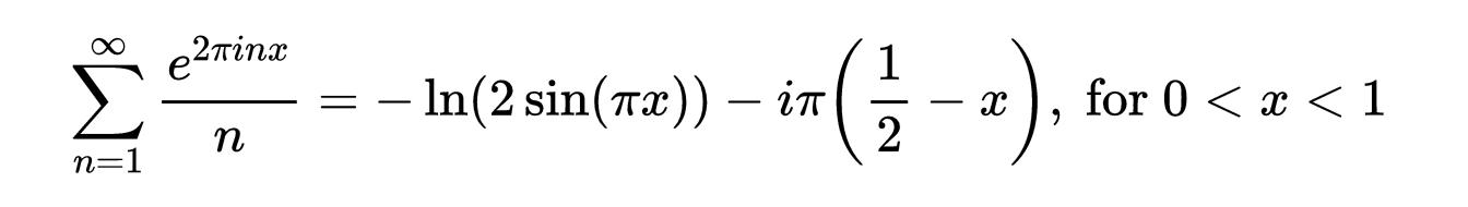
现在到了有趣的部分。注意,在左边,如果我们让r→1,并把它分成实部和复部,那么对于x的特定值具有收敛性。
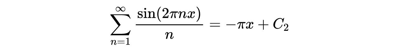
因此,让r→1,两边同时乘以2πi,得到:

这在0<x<1时成立。
这里我们用了sin的倍角公式。

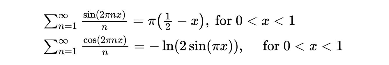
我们用欧拉恒等式展开左边的级数。然后我们有两个公式。对于正弦级数,我们得到:

将x=1/2代入这个公式,得到常数项π/2。我们现在可以表述我们新发现的公式:

在正弦公式中,如果我们设x = 1/4,我们得到交替级数 1 - 1/3 1/5 - 1/7 ⋅⋅⋅ = π/4,这是一个非常著名的公式。它让我们以一种非常简单的方式来近似π,当然,这是令人惊讶的,因为在这个级数中没有圆出现。
在余弦公式中,如果我们令x = 1/2,我们得到t 1 - 1/2 1/3 - 1/4 ⋅ ⋅ ⋅ = ln(2)。这是另一个著名的结果。这个级数叫做交替调和级数。
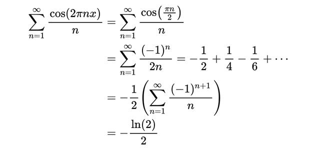
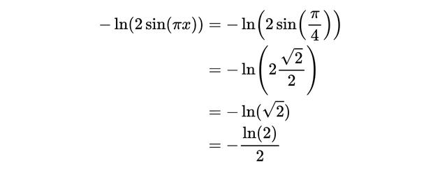
如果在余弦级数中设x = 1/4会怎样?然后我们得到:

看看公式是否一致。
如果我们把x = 1/4代入右边的表达式,我们得到:

这当然与上面的一致。
我们可以用欧拉恒等式把这两个公式放到一个公式里。得到:

在我看来,这是一个非常神奇的公式!
但这还不是全部。
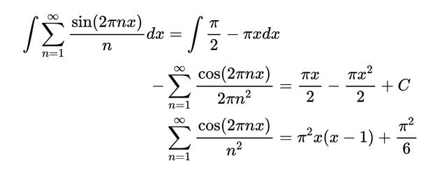
如果我们对sin级数对x积分,有趣的事情就发生了。
让我们试一试。

请注意,这是一个著名的巴塞尔问题(1650年提出),欧拉在1734年解决了它。
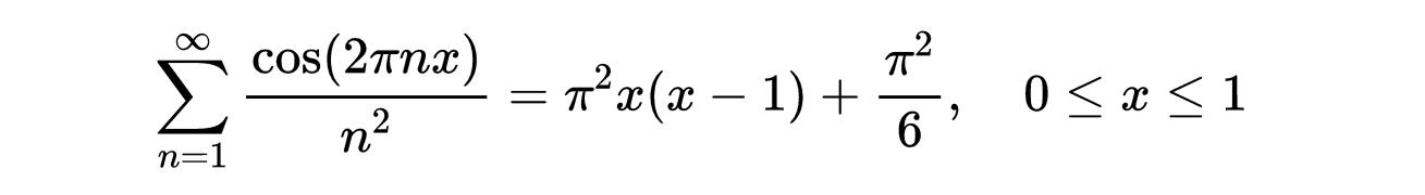
总结一下结果:

注意,即使x = 0或x = 1也是正确的。然而,它在这个区间之外并不成立。另外,请注意余弦函数的对称性表现为从0到1的抛物线x(x-1)的对称性。
这种方法可以推广到黎曼ζ函数的其它特殊值。不幸的是,对余弦级数公式的右边积分有点困难,但这并不意味着我们不能用这种方法进行分析。
,

























